
随着11月份印尼巴厘岛G20会议的即将召开,这边有关印尼国际形象的媒体舆论也越来越多。
其中一个声音就是:印尼在本次各国高级首脑会晤之前,将面临世贸组织WTO对欧盟提出的印尼关于禁止镍矿出口政策的诉讼的初步判决,而且看各大主流媒体的意思,这场官司印尼很可能要输。
对于数年来重金砸在印尼的中国相关企业 ,不得不密切关注事态的发展。
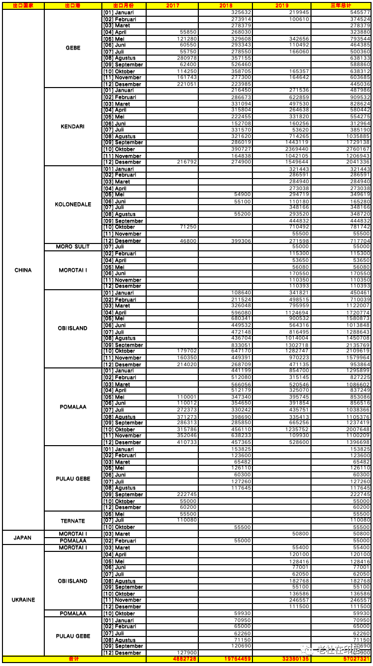
一、近年来印尼对欧盟国家镍产品的出口数据:
以上是2017-2019年最近的印尼放开镍出口三年的外贸数据(来源:印尼国家统计局)
我们看到,这三年印尼的红土镍矿主要只卖给了三个国家:中国、日本和乌克兰。其中中国5517万吨,日本仅11万吨,乌克兰仅10万吨,即使目前处于战争期间的东欧国家乌克兰,至今也还算不得是欧盟国家(刚刚递交了申请,原因众所周知)。
没有出口什么原矿,近年来印尼生产的镍产品是否有一些直接卖到了欧盟国家?
以上是老杜统计的2017-2022印尼镍产品出口到欧盟国家的参考数据,其中出口到七个国家:瑞士、瑞典、德国、意大利、比利时和挪威。但是几年的出口量加起来才1.16万吨!其中最大的一笔还是近期才发送到挪威的一船高冰镍5000吨,占了一半。
两个数据说明:印尼的镍矿出禁止口政策,并没有直接影响到欧盟国家,或者说影响甚微。那么间接影响有没有呢?
二、欧盟诉讼印尼禁矿政策的主要内容:
以上是本地媒体总结的要点,老杜简单翻译了一下。
我们可以看到,欧盟打官司的法律依据是GATT(关贸总协定)和ASCM(补贴协议及平衡措施),诉求主要是三点:
- 违反了GATT1994第XI条第一款,一是禁止了1.7%以下品位的镍矿出口,,二是出口和本地建厂挂钩,三是要求了国内销售义务(其实老杜看来目前政府并没有像煤矿那样这方面明确的法律条款,但是禁矿客观上是有利于本国企业)。
- 违反了ASCM第3.1.b款,即实施了一些对在本地建厂的一些投资优惠政策,对外来资本进行了一些政策性补贴。
- 违反了GATT第X条第一款,即无法评估印尼禁矿政策及标准的细节,说句白话就是:印尼你关起门来自己这么玩儿,我们很不高兴,后果很严重。
当然,以上仅是原告的意思。从上图也可以看出,由于印尼的镍产业发展,2021年的出口额的84亿美元比2019年的45亿美元增长了87%。可以肯定地说,虽然近年来印尼镍矿政策反反复复拉抽屉,但是最终让政府看到了自己国家的资源潜力,发展了当地经济,改善的就业局面,扭转了贸易逆差,这些,都是在中国政府、中国企业的大力支持下华丽转身的,当然,同时遭到其它国家的红眼或白眼也就可以理解了。
因此可以说,在这场印尼和欧盟的诉讼中,表面上虽然没有中国什么事,其实中国企业也是躺枪。更何况,经济历来是和政治挂钩的,中国镍产业的兴起和某些国家的产业大佬掰腕子,也是经常发生的事情。今年三月份伦镍的风波,如果坊间消息属实的话,很能说明问题。
三、如果在这场诉讼中,印尼输了怎么办?
首先,印尼官员们还没有放弃努力,正在努力争取好结果。
总统在各个场合一直在宣称,花巨资找全球最好的法律团队应诉。印尼投资部长也在最近宣称,拟在G20期间和各国力促达成一个所谓的《巴厘岛纲要》,《巴厘岛纲要》主要想通过优先考虑本国的比较优势,使各国了解其他国家的投资战略,即告知世界各国,不应阻碍印度尼西亚正在实施和将要实施的出口禁令政策。当然,这个纲要是否能够达成要画一个很大的问号。
其次,即使败诉了,印尼也有一些应对办法,最简单粗暴的办法就是民间舆论大肆宣传的对镍产品(包括原矿)增加出口税。当然,说是归说,真要推出这个政策,在其他方面印尼还是要丢分的,特别是国际形象方面。当然,作为在印尼有大量投资的中国政府和企业,印尼也应该要考虑一下感受和后果的。否则,政府准备唱的新能源汽车产业大戏,甚至新首都的建设资金来源,难道要拒之门外?
四、中国企业如何面对?
以目前中国企业在印尼镍产业的地位,处境还是挺尴尬的。
一方面,近140万镍吨的已实现产能需要大量的原矿供应,目前还是以火法冶炼为主的镍铁需要的还是大量的高品位矿供应,而据老杜了解,这方面的矿供应目前已经捉襟见肘了,而降低品位的使用只能使生产成本进一步提高。湿法冶炼所用的中低品位的矿,产能还没有建成和释放,其工艺的特点也需要巨量的低镁矿供应,同时也要解决大量的尾矿处理难题。因此,如果印尼政府真的放开了原矿出口,加不加税都会造成供应失血。
另一方面,目前中国还是全球镍铁生产的第二大国,目前国内的相关企业主要靠菲律宾的红土镍矿续命,能够从印尼重新获得一点原矿供应也是一件好事儿。据本地媒体报道,目前,共有15个国家/地区在这场诉讼中主张第三方权利,分别是巴西、加拿大、中国、日本、韩国、印度、俄罗斯、沙特阿拉伯、新加坡、中国台湾、土耳其、乌克兰、阿联酋、英国和美国。里面出现中国的名字也就不足为奇了。
没有什么太好的办法,外国企业主导不了本国政策,印尼又是一个大号散装的民主国家,在外资和选票之间,官员们选择谁是可以预判的,更何况保护本国资源也无可厚非。既来之则安之,作为已经落地的相关企业,我们能够做的,就是努力争取到更多的资源,努力做到更低的生产成本,努力提高自己企业的形象,能够在印尼长久地活下去,力争把投资早日收回来。还没有落地的企业,建议一看二慢三通过,等形势明朗了以后再动作,实为上策。
当今世界,国际形势从来没有过的错综复杂,在这个动荡的年代,一个第三世界国家的产业政策,只是一片小小的涟漪,掀不起什么大浪。政治家们在比拼智慧,企业家们在考虑变通,老百姓在考虑生存,只能期盼上天有眼,能够尽快让天下太平,国泰民安。而作为一个世界人口大国的印尼,凭其各种资源优势和屡试不爽的爪哇智慧,相信是能够最早一批走出政治、经济和诉讼的阴影的国家,让我们拭目以待。
